《已使用化妆品原料目录》II

一、《已使用化妆品原料目录》分为Ⅰ和Ⅱ两个清单管理。其中,《已使用化妆品原料目录》Ⅱ是对在我国境内经注册或者备案的、安全监测期满且符合纳入《已使用化妆品原料目录》条件的化妆品新原料的收录。化妆品注册人、备案人在选用本目录所列原料时,应当符合国家有关法律法规、强制性国家标准、技术规范的相关要求,并承担产品质量安全主体责任。
二、在本目录中收录的原料如被列为化妆品禁用原料、限用原料或者准用原料管理的,化妆品注册人、备案人应当按照强制性国家标准、技术规范的规定选择使用该原料。
三、《已使用化妆品原料目录》Ⅱ收录的原料使用目的、安全使用量来源于化妆品新原料注册人、备案人提交的研究资料。
四、原料的来源、工艺等如对原料的物质基础或者质量安全有实质性影响的,根据实际情况在备注栏标注,例如:该原料的物种、使用部位、制备工艺简述、菌种来源、细胞来源等。
序号 | 中文名称 | INCI名称 | 英文名称 | CAS号 | 原料分子式 | 化学结构式 | 相对分子量 | 使用目的 | 安全使用量 | 备注 | 详情 | |
|---|---|---|---|---|---|---|---|---|---|---|---|---|
使用范围 | 使用量 | |||||||||||
| 1 | N-乙酰神经氨酸 | ACETYLNEURAMINIC ACID | N-ACETYLNEURAMINIC ACID | 131-48-6 | C11H19NO9 | ![]() | 309.27 | 保湿剂 | 各类化妆品(口唇类以及可能具有吸入暴露风险的产品除外) | 2% | / | 查看 |
| 2 | β-丙氨酰羟脯氨酰二氨基丁酸苄胺 | BETA-ALANYL HYDROXYPROLYLDIAMINOBUTYROYL BENZYLAMIDE | / | 1694678-02-8 | C19H29N5O4 | ![]() | 391.22 | 皮肤保护剂 | 各类化妆品(口唇类以及可能具有吸入暴露风险的产品除外) | 0.33% | / | 查看 |
| 3 | 月桂酰丙氨酸 | LAUROYL ALANINE | N-LAUROYL-L-ALANINE | 52558-74-4 | C15H29NO3 | ![]() | 271.40 | 清洁剂 | 各类化妆品(可能具有吸入风险的化妆品除外) | 淋洗类化妆品20%;驻留类化妆品1% | / | 查看 |
| 4 | 聚甲基倍半硅氧烷/三甲基硅烷氧基硅酸酯 | POLYMETHYLSILSESQUIOXANE/TRIMETHYLSILOXYSILICATE | POLYMETHYLSILSESQUIOXANE/TRIMETHYLSILOXYSILICATE | 1402155-47-8 | [SiO4/2]m[(CH3)SiO3/2]n [(CH3)3SiO1/2]k其中 m:n:k = 2.71:1:1 | ![]() | / | 成膜剂 | 各类化妆品(可能具有吸入风险的化妆品除外) | 30% | / | 查看 |
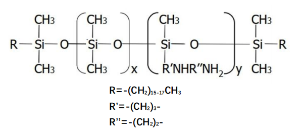
| 5 | 双-鲸蜡硬脂基氨端聚二甲基硅氧烷 | BIS-CETEARYL AMODIMETHICONE | / | 1126942-72-0 | [(CH3)2SiO]x[(CH3)(C3H6NHC2H4NH2)SiO]y[(CH3)2(C16H33~C18H37)SiO0.5]2 | ![]() | / | 发用调理剂 | 发用产品(可能具有吸入风险的化妆品除外) | 10% | / | 查看 |
2026年化妆品新原料备案总体概况
绿翊(广州)技术服务有限公司
绿翊合规成立于2017年,是一家专业的化妆品合规服务公司,为化妆品企业提供全方位的合规服务,包括化妆品合规咨询、注册备案、检验检测、功效评价、安全评估等综合性服务。我们的合规团队由化妆品行业资深法规人和质量人组成,精通国内外化妆品法规要求和质量安全标准,能够为客户提供专业、准确和高效的合规服务。化妆品注册备案合规技术服务,绿翊3500+特殊化妆品成功申报案例。





